Технологическая часть
Назначение и анализ конструкции детали
Деталь – корпус ТНА. Корпус представляет собой сложную ступенчатую деталь со сквозным отверстием турбонасосного агрегата жидкостного ракетного двигателя. В корпусе располагается центробежный насос со шнеком, посредством которого топливо подается в камеру сгорания под высоким давлением.
Конструкция детали имеет многоступенчатую поверхность, как снаружи, так и внутри, с отверстиями в разных плоскостях. Конструкция усложнена наличием внутренней канавки, выполненной по профилю эвольвенты, а также конструкция имеет патрубок со сквозным отверстием в другой плоскости. Корпус ТНА подвержен динамическим нагрузкам (высокое давление), а так же высокотемпературное воздействие и агрессивное действие топлива.
Наиболее точными размерами являются поверхности внутреннего контураØ76,2Н7, Ø157Н7 и Ø70Н7.
Шероховатость основных рабочих поверхностей регламентирована по среднеарифметическому отклонению профиля в диапазоне Ra = 2.5-3,5мкм, остальных поверхностей Rz = 20 ÷ 40 мкм, что соответствует требованиям, предъявленным к их точности.
Габаритные размеры детали: наибольший наружный диаметр190мм, ширина87мм.
Масса корпуса ТНА 4,87кг, что не требует специальных грузоподъемных устройств для установки и снятия детали со станка.
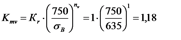
Материал детали сталь 07Х16Н6 ГОСТ 5582-75. Как правило, сплав 07Х16Н6 применяют там, где необходимо сочетание высокой прочности, ударной вязкости и высокой коррозионной стойкости. Большим плюсом данной марки является то, что высокие показатели пластичности и ударной вязкости сохраняются даже при низких температурах. Благодаря чему этот сплав широко применяется в авиационной промышленности.
Таблица 2.1 – Химический состав в % материала 07Х16Н6
| С, % | Cr, % | Ni, % | Mo, % | Co, % | Al, % |
| 0.04 | 1-1.5 | 1-1.5 |
Таблица 2.2 – Рекомендуемые режимы термической обработки заготовок
| Рекомендуемые режимы термической обработки заготовок | Временное сопротивление σВ, Н/мм2 (кгс/мм2) | предел текучести σТ, Н/мм2 (кгс/мм2) | относительное удлинение δ5, % | относительное сужение ψ, % | ударная вязкость, KCU, Дж/см2 (кгс·м/см2) |
| не менее | |||||
| закалка с 975 – 1000°С, охлаждение в воде, на воздухе или в масле, последующая обработка холодом при -70°С, выдержка 2ч или при -50°С, выдержка 4ч, старение при 350-400°С, охлаждение на воздухе | (110) | (90) | 69(7) |
Анализ технологичности детали
Анализ технологичности является одним из важнейших этапов разработки технологического процесса и проводится с целью выявления возможностей использования наиболее прогрессивных и эффективных методов, средств и технологических процессов изготовления изделия с заданными показателями качества и минимальными затратами, то есть обуславливают его основные технико-экономические показатели: металлоемкость, трудоемкость, себестоимость.
Оценка технологичности конструкции детали проводится по качественным и количественным показателям.
Выбор оборудования и средств технологического оснащения.
Токарно-револьверный станок с ЧПУ HAAS ST-20
Универсальный токарный станок повышенной точности HAAS ST-20 предназначен для выполнения самых разнообразных токарных, резьбонарезных и сверлильных работ повышенной точности.
Техническая характеристика станка
Максимальный диаметр точения над станиной - 584
Максимальный диаметр точения над суппортом - 241
Максимальная длинна обработки наружных поверхностей - 438
Максимальный диаметр заготовки в патроне главного шпинделя - 210
Максимальный диаметр заготовки - 584
Максимальное расстояние между центрами - 610
Частота вращения главного шпинделя об/мин - 4000
Максимальная мощность привода вращения главного шпинделя кВт - 22,4
Габаритные размеры станка (Д х Ш х В) - 3226x2286x1829
Масса станка – 4082кг
Многоцелевой станок DMG 5010C ЧПУ сверлильно-фрезерно-расточной группы.
Описание станка модели DMG 5010C.
На станке DMG 5010C можно обрабатывать поверхности, как в горизонтальном, так и в вертикальном расположении инструмента относительно поверхности заготовки. Это позволяет вести обработку деталей со всех сторон.
Техническая характеристика
Размеры паллеты (стола), мм - 300×800
Число управляемых координат - 5
Перемещение вдоль осей, мм
X - 1000
Y - 800
Z - 600
Угол поворота вокруг осей, °
B(C) - 360
А - 90
Частота вращения шпинделя, мин-1 - 0…8000
Мощность, кВт - 13
Время смены инструмента, с - 7
Вместимость инструментального магазина, шт - 20/40
Габаритные размеры станка (длина×ширина×высота), мм - 4600×2750×3690
Масса станка, кг- 12000
Расчет режимов резания
Исходными данными для расчета режимов резания являются:
- наименование и марка материала обрабатываемой заготовки, а также его физико-механические свойства;
- размеры (допуски, погрешности формы детали, относительное положение поверхностей) и геометрическая форма обрабатываемой заготовки;
- технические требования на изготовление детали;
- материал, типоразмер и геометрические параметры режущей части инструмента;
- паспортные характеристики выбранного оборудования.
Произведем расчет режимов резания на операцию 025.
Операция 025Переход 1.Подрезка торца
Операции выполняются на станке HAAS SТ 20.
Произведем расчет режимов резания на точение торца детали.
Глубина резания t =2 мм .
Подача S при черновом точение принимается максимально допустимой по мощности оборудования, жесткости технологической системы, прочности режущей пластины и прочности оправки
Назначаем подачу S = 1,2 мм/об.
Определяем скорость резания[12]:
(19)
где Сv= 280; x = 0,15; y = 0,45; m = 0,2;
- период стойкости,
;
- общий поправочный коэффициент[12]:
(20)

где
= 1– показатель степени.
- коэффициент, учитывающий главный угол в плане резания,
;
- коэффициент, учитывающий материал инструмент,
.


Определяем частоту вращения шпинделя:
. (21)
Подставив значения, получаем:

Максимальная сила резания при черновом точении при глубине резания
t = 2 мм по формуле [12]:
, (22)
где
– коэффициенты равные:

Поправочный коэффициент
представляет собой произведение ряда коэффициентов:
. (23)
;
.

.
Определим необходимую мощность электродвигателя станка NкВт:
(24)


где η – КПД электродвигателя, равный 0,85-0,9.
Мощность выбранного станка Haas SТ 20 22,4 кВт позволяет вести обработку при выбранных режимах.
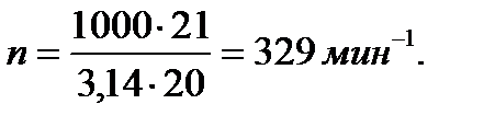
Операция 025 Переход 2.Сверление отверстия
Операции выполняются на станке HAAS SТ 20.
Произведем расчет режимов резания на сверления отверстия на выход в улитку.
Глубина резания t =2 мм .
Назначаем подачу S = 0,2 мм/об.
Определяем скорость резания[9]:
(25)
где Сv= 34,2; q = 0,45; y = 0,3; m = 0,2;
- период стойкости,
;
- общий поправочный коэффициент[9]:
(26)
где
- коэффициент, учитывающий качество обрабатываемого материала, 
- коэффициент, учитывающий глубину сверления,
;
- коэффициент, учитывающий материал инструмент,
.


Определяем частоту вращения шпинделя:
. (27)
Подставив значения, получаем:

Крутящий момент Н·м и осевая сила Н, при глубине резания:
t = 2 мм по формуле[12]:
, (28)
(29)
где
– коэффициенты, равные:


Поправочный коэффициент
представляет собой произведение ряда коэффициентов:

;
.


Определим необходимую мощность электродвигателя станка N, кВт:
(30)


где η – КПД электродвигателя, равный 0,85-0,9.
Мощность выбранного станка HAAS SSТ 20 - 22,4 кВт позволяет вести обработку при выбранных режимах.
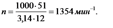
Операция 025Переход 3.Рассверливание отверстия
Операции выполняются на станке HAAS SSТ 20.
Глубина резания t =2 мм.
Назначаем подачу S = 0,4 мм/об.
Определяем скорость резания[12]:
(31)
где Сv= 10,8; q = 0,6; y = 0,3; х=0,2; m = 0,25;
- период стойкости,
;
- общий поправочный коэффициент[12]:
(32)
где - коэффициент, учитывающий качество обрабатываемого материала,
;
- коэффициент, учитывающий главный угол в плане резания,
;
- коэффициент, учитывающий материал инструмент,
.
- коэффициент, учитывающий глубину сверления,
;


Определяем частоту вращения шпинделя:
.
Подставив значения, получаем:

Крутящий момент Н·м и осевая сила Н, при глубине резания:
t = 2 мм по формуле[9]:
, (33)
(34)
где
– коэффициенты равные:


Поправочный коэффициент
представляет собой произведение ряда коэффициентов:

;
.


Определим необходимую мощность электродвигателя станка NкВт:


где η – КПД электродвигателя, равный 0,85-0,9.
Мощность выбранного станка HaasSТ 20 - 22,4 кВт позволяет вести обработку при выбранных режимах.
Далее результаты вычислений заносим в таблицу 7.
Таблица 7 – Результаты расчета режимов резания на операции 015 и 025
| № операции | Содержание перехода | Инструмент | Режимы резания | |||||
| i | L, b или d, мм | t,мм | Sмм/об | V, | n, мин-1 | |||
| м/c | ||||||||
| 015 Токарная с ЧПУ | ||||||||
| 1. Черновое торцевание поверхности, выдерживая размер 97-0,3 | Резец проходной | 1,2 | ||||||
| 2. Черновое растачивание поверхности Ø70Н12, выдерживая размер 97-0,3 | Резец расточной | 1,6 | 0,6 | |||||
| 3. Чистовое растачивание поверхности Ø70Н9, выдерживая размер 97-0,3 | Резец расточной | 68,6 | 0,5 | 0,2 | ||||
| 4. Черновое растачивание поверхности Ø76,2Н12, выдерживая размер 63-0,3 | Резец расточной | 69,6 | 1,3 | 0,6 | ||||
| 5. Чистовое растачивание поверхности Ø76,2Н9, выдерживая размер 63-0,3 | Резец расточной | 74,8 | 0,5 | 0,2 | ||||
| 6. Черновое растачивание поверхности Ø155Н12, выдерживая размер 44,5-0,25 | Резец расточной | 0,8 | ||||||
| 7. Чистовое растачивание поверхности Ø155Н11, выдерживая размер 44,5-0,25 | Резец расточной | 0,5 | 0,2 | |||||
| 8. Черновое растачивание поверхности Ø157Н12, выдерживая размер 6-0,12 | Резец расточной | 0,5 | 0,1 | |||||
| 9. Чистовое растачивание поверхности Ø157Н9, выдерживая размер 6-0,12 | Резец расточной | 0,5 | 0,1 | |||||
| 10. Черновое растачивание поверхности Ø85h12, выдерживая размер 59-0,3 | Резец расточной | 0,3 | ||||||
| 11. Черновое растачивание поверхности Ø85h12, выдерживая размер 59-0,3 | Резец расточной | 0,3 | ||||||
| 12. Черновое растачивание поверхности Ø85h12, выдерживая размер 59-0,3 | Резец расточной | 0,3 | ||||||
| 13. Тонкое растачивание поверхности Ø70Н7, выдерживая размер 97-0,3 | Резец проходной | 69,6 | 0,2 | 0,1 | ||||
| 14. Тонкое растачивание поверхности Ø76,2Н7, выдерживая размер 63-0,3 | Резец проходной | 75,8 | 0,2 | 0,1 |
Окончание таблицы 7
| 15. Тонкое растачивание поверхности Ø157Н7, выдерживая размер 6-0,12 | Резец проходной | 156,8 | 0,1 | 0,1 | ||||
| 16. Точение канавки, выдерживая размер 8-0,15 | Резец канавочный | 2,5 | 0,3 | |||||
| 17. Точение канавки, выдерживая размер 5-0,15 | Резец канавочный | 0,5 | 0,1 | |||||
| 025 Токарная с ЧПУ: | ||||||||
| 1.Черновое торцевание поверхности, выдерживая размер 110+0,3. | Резец расточной | 1,2 | ||||||
| 2. Сверление отверстияØ12. | Сверло | 0,2 | ||||||
| 3. Рассверливание отверстияØ20, выдерживая размер 44. | Сверло | 0,4 | ||||||
| 4. Черновое растачивание поверхности Ø42h11, выдерживая размер 4. | Резец расточной | 0,4 | ||||||
| 5. Черновое растачивание поверхности Ø32h11, выдерживая размер 27. | Резец расточной | 2,2 | 0,4 | |||||
| 6. Черновое растачивание поверхности Ø19h11, выдерживая размер 76,6. | Резец расточной | 1,5 | 0,4 | |||||
| 7. Чистовое растачивание поверхности Ø42h10, выдерживая размер 4 | Резец расточной | 0,5 | 0,2 | |||||
| 8. Чистовое растачивание поверхности Ø32h9, выдерживая размер 27. | Резец расточной | 0,5 | 0,2 | |||||
| 9. Чистовое растачивание поверхности Ø19h9, выдерживая размер 76,6. | Резец расточной | 0,5 | 0,2 | |||||
| 10. Черновое растачивание поверхности Ø50h11, выдерживая размер 10±0,4. | Резец расточной | 0,4 | ||||||
| 11. . Чистовое растачивание поверхности Ø50h9, выдерживая размер 10±0,4. | Резец расточной | 0,5 | 0,2 | |||||
| 12. Растачивание внешнего контураØ50h9, выдерживая размер 5 | Резец расточной | 0,4 | ||||||
| 13. Растачивание внешнего контураØ52±0,2, выдерживая размер 32±0,4 | Резец расточной | 0,4 |
Технологическая часть
Назначение и анализ конструкции детали
Деталь – корпус ТНА. Корпус представляет собой сложную ступенчатую деталь со сквозным отверстием турбонасосного агрегата жидкостного ракетного двигателя. В корпусе располагается центробежный насос со шнеком, посредством которого топливо подается в камеру сгорания под высоким давлением.
Конструкция детали имеет многоступенчатую поверхность, как снаружи, так и внутри, с отверстиями в разных плоскостях. Конструкция усложнена наличием внутренней канавки, выполненной по профилю эвольвенты, а также конструкция имеет патрубок со сквозным отверстием в другой плоскости. Корпус ТНА подвержен динамическим нагрузкам (высокое давление), а так же высокотемпературное воздействие и агрессивное действие топлива.
Наиболее точными размерами являются поверхности внутреннего контураØ76,2Н7, Ø157Н7 и Ø70Н7.
Шероховатость основных рабочих поверхностей регламентирована по среднеарифметическому отклонению профиля в диапазоне Ra = 2.5-3,5мкм, остальных поверхностей Rz = 20 ÷ 40 мкм, что соответствует требованиям, предъявленным к их точности.
Габаритные размеры детали: наибольший наружный диаметр190мм, ширина87мм.
Масса корпуса ТНА 4,87кг, что не требует специальных грузоподъемных устройств для установки и снятия детали со станка.
Материал детали сталь 07Х16Н6 ГОСТ 5582-75. Как правило, сплав 07Х16Н6 применяют там, где необходимо сочетание высокой прочности, ударной вязкости и высокой коррозионной стойкости. Большим плюсом данной марки является то, что высокие показатели пластичности и ударной вязкости сохраняются даже при низких температурах. Благодаря чему этот сплав широко применяется в авиационной промышленности.
Таблица 2.1 – Химический состав в % материала 07Х16Н6
| С, % | Cr, % | Ni, % | Mo, % | Co, % | Al, % |
| 0.04 | 1-1.5 | 1-1.5 |
Таблица 2.2 – Рекомендуемые режимы термической обработки заготовок
| Рекомендуемые режимы термической обработки заготовок | Временное сопротивление σВ, Н/мм2 (кгс/мм2) | предел текучести σТ, Н/мм2 (кгс/мм2) | относительное удлинение δ5, % | относительное сужение ψ, % | ударная вязкость, KCU, Дж/см2 (кгс·м/см2) |
| не менее | |||||
| закалка с 975 – 1000°С, охлаждение в воде, на воздухе или в масле, последующая обработка холодом при -70°С, выдержка 2ч или при -50°С, выдержка 4ч, старение при 350-400°С, охлаждение на воздухе | (110) | (90) | 69(7) |