Применительно к производству количественную оценку технологичности производят по коэффициентам точности Кт, сложности конструкции детали Ксл, показателю унификации конструктивных элементов Куэ, шероховатости Кш обрабатываемых поверхностей и коэффициенту использования материала Ким.
1. Показатель обрабатываемости материала Ком, определяется в соответствии с рабочим чертежом детали. Для стали 07Х16Н6 коэффициент относительной обрабатываемости Ком=1.
2. Показатель сложности конструкции детали Ксл. Для определения коэффициента сложности необходимо заполнить таблицу 2.4 конструктивных параметров детали.
Таблица 2.4 - Конструктивные параметры корпуса ТНА
| № Пов. | Форма | Ra,мкм | IT | Размер, мм | Вид обработки | Дополнительные требования | примечние |
| Плоскость | 12,5 | точение | нет | ||||
| Цилиндр | -‘‘- | -‘‘- | -‘‘- | ||||
| Конус | 2,5 | точение | -‘‘- | -‘‘- | |||
| Конус | 12,5 | -‘‘- | -‘‘- | ||||
| Цилиндр | -‘‘- | -‘‘- | -‘‘- | ||||
| Цилиндр | -‘‘- | -‘‘- | -‘‘- | -‘‘- | |||
| Плоскость | -‘‘- | -‘‘- | -‘‘- | ||||
| Цилиндр | -‘‘- | -‘‘- | -‘‘- | ||||
| Цилиндр | -‘‘- | -‘‘- | -‘‘- | ||||
| Цилиндр | 3,2 | 157,5 | фрезерован | -‘‘- | НУ | ||
| Конус | 12,5 | точение | -‘‘- | ||||
| Цилиндр | -‘‘- | 76,2 | -‘‘- | -‘‘- | |||
| Вн.контур | 12,5 | фрезерован. | -‘‘- | ||||
| Цилиндр | 12,5 | фрезерован. | -‘‘- | ||||
| Плоскость | 12,5 | фрезерован. | -‘‘- | ||||
| Цилиндр | -‘‘- | -‘‘- | -‘‘- | ||||
| Цилиндр | -‘‘- | фрезерован. | -‘‘- | ||||
| Конус | 3,2 | сверление | -‘‘- | ||||
| Конус | -‘‘- | развертыв. | -‘‘- | НУ | |||
| Улитка | -‘‘- | фрезерован. | НУ |
Увеличение себестоимости получаемой методами обработки резанием детали вследствие удлинения технологического процесса ее изготовления, учитывается показателем сложности конструкции детали, определенным в виде:
Ксл=0,25(Кк+Кр+Кв+Кс),
где Кк, Кр, Кв, Кс – коэффициенты, определяемые по выражению
Кi=1- Аi
Аi – поправки, численные значения которых приведены в таблице 3.
Коэффициент Kк коэффициент количества поверхностей зависит от количества поверхностей на исходной заготовке, с которых удаляется припуск при изготовлении детали.
Коэффициент Kp (коэффициент расположения поверхностей) учитывает общее количество заданных на чертеже детали исходных данных по обеспечению требуемых точности формы и взаимного расположения поверхностей.
Коэффициент Кв (коэффициент видов обработки) учитывает количество различных видов обработки резанием.
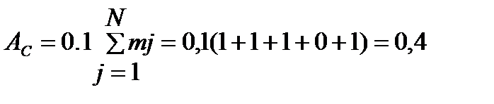
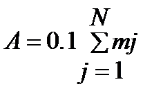
Коэффициент Кс учитывает соответствие размера, точности поверхностей деталей, обрабатываемых по 10-му квалитету и точнее. Величина A для этого коэффициента определяется по формуле:
где N – общее количество поверхностей детали, обрабатываемых резанием не грубее 10-го квалитета; Величины mj лежат в пределах от 0 до 4. Если при расчете оказывается, что А >1 , то в выражение подставляется А = 1. Если на детали нет поверхностей, обрабатываемых по 10-му квалитету и точнее, то принимаем Kс=1. |
Таблица 2.5 - Факторы, определяющие сложность конструкции детали
| Обозначение коэффициентов | Факторы, влияющие на величины коэффициентов | Диапазоны факторов | Величина поправки Ai |
| Kк | Количество поверхностей детали, обрабатываемых резанием | £ 20 > 20 | 0.2 |
| Kp | Количество повышенных требований по точностям формы и взаимного расположения поверхностей | £ 2 > 2 | 0.2 0.4 |
| Kв | Количество видов механической обработки | £ 2 > 2 | 0.1 |
Для данного случая следует отметить, что поверхности 5, 6 образуются одновременно одним инструментом – расточным резцом, поверхности 11, 9 одновременно одним проходным резцом. Поверхности 13-14-15-16 – одной концевой фрезой. Получаем АК=0. Поскольку здесь за одну поверхность принимается каждая указанная совокупность поверхностей обрабатываемая резанием, то видно, что количество поверхностей, обрабатываемых таким образом меньше 20.
АР=0,4, так как к детали предъявлено 4 требования по точности расположения поверхностей в пределах до 0,05. Это требования по параллельности, соосности поверхностей 5-6, параллельности поверхности 20, торцевое биение поверхности 20.
АВ=0,1, при изготовлении детали точением, фрезерованием, сверлением и развертыванием применяют четыре вида обработки резанием.
Общее количество обрабатываемых резанием поверхностей точнее 10-го квалитета составляет m=5.

Подставляем уточнения для коэффициентов:
Kк=1,0- АК=1,0-0,0=1
Kp=1,0- АР=1,0-0,4=0,6
Кв=1,0- АВ=1,0-0,1=0,9
Кс=1,0- АС=1,0-0,4=0,6,
тогда Ксл=0,25(Кк+Кр+Кв+Кс),
Ксл=0,25(1+0,6+0,9+0,6)=0,78
3.Показатель точности и шероховатости поверхностей детали Кпов =0,8;
4.Показатель унификации конструктивных элементов Куэ

5. Показатель использования материала 

6. Комплексный показатель технологичности:
| |
| где KT – комплексный показатель технологичности; Кi – частный показатель технологичности; ji – коэффициент весомости частного показателя; n – количество частных показателей технологичности [2]. |
Коэффициент использования материала составляет 0,27, это вызвано необходимостью изготовления корпуса ТНА штамповкой, имеющий большие припуски.
Таким образом, на основе количественного и качественного анализа технологичности выявлено, что большинство поверхностей по точности и шероховатости не вызывают особых затруднений при обработке и можно использовать производительные режимы резания с применением оборудования с ЧПУ, вести обработку на проход. Нетехнологичные элементы поверхностей детали могут быть обработаны с применением специальной технологической оснастки оборудовании, что незначительно повышает трудоемкость изготовления корпуса ТНА.